Subsections


2.2 Rain

Precipitation occurs when cloud particles, which grow in complex processes like condensation and aggregation, reach such a size that their falling velocity is larger than the upward wind speed in the air. Precipitation is called rain when its particles are liquid water at ground level. Apart from its complex formation in clouds, rain is basically a population of falling drops interacting with each other (collision, breakup) and with their environment (wind, evaporation).

General literature on rain can be found in for example [Pruppacher and Klett 1978]. For climatological information on rain one can refer to [Buishand and Velds 1980] for the Netherlands.

2.2.1 Raindrop size

In a first approximation, the minimum size of raindrops falling on the ground depends on vertical wind speeds in clouds. In clouds with updraughts of less than 50 cm s$^{-1}$, drops of 0.2 mm (terminal velocity of 70 cm s$^{-1}$) and more will fall out. In air of 90% humidity such a drop can fall 150 m before total evaporation and thus reach the ground. A drop of 1 mm can fall 40 km. Rain which mainly consists of drops of 0.1 mm diameter, is called drizzle, and is produced by low layer clouds.

The maximum diameter of raindrops is about 7 mm, because larger drops will break apart during the fall.

Only drops of diameters of less than 0.3 mm are nearly perfect spheres at terminal (falling) velocity. Therefore for larger drops one can not unambiguously describe the shape by one length. This problem is solved by the definition of a equivalent diameter: the diameter of a sphere with the same volume as the deformed drop.

Falling drops of (equivalent) diameters of 0.3 to 1 mm resemble oblate spheroids. Drops larger than 1 mm resemble oblate spheroids with flat bases (figure 2.5).

Figure 2.5: Shape of falling raindrops obtained from wind tunnel experiments, after []p. 22]pruppacher:1978. To scale. Equivalent diameters in mm.
\begin{center}%
\psfrag{0.8} [Bc]{0.8}
\psfrag{2.7} [Bc]{2.7}
\psfrag{5.8}...
...hics[width=0.3\linewidth]{h-theory/eps/shape-of-raindrops.eps}%
 \end{center}

In the following sections and chapters, the term ``diameter'' should be understood as the ``equivalent diameter''. Moreover, one should keep in mind that raindrop diameters range from 0.1 mm to 7 mm. The number of raindrops per drop size in rainfall (``raindrop spectrum'') is discussed in section 2.2.4.


2.2.2 Drop velocity

The velocity of a drop depends on gravitation and drag due to wind speed. The motion of a drop can be described by:

\begin{displaymath}
m_{\text{D}} \frac{d\vec{u}_{\text{D}}}{dt} = m_{\text{D}}\...
...\: R\!e\: C_d(R\!e) \: D
\: (\vec{u}_{\text{D}}-\vec{u}),
\end{displaymath} (2.10)

with $m_{\text{D}}$ = mass [kg] of a raindrop ( $=\rho_{\text{D}} \pi D^3 / 6$), $D$ = drop diameter [m], $\vec{u}_{\text{D}}$ = drop velocity vector [m s$^{-1}$], $\vec{u}$ = wind velocity vector [m s$^{-1}$], $\vec{g}$ = gravitational acceleration [m s$^{-2}$], $C_d$ = drag coefficient [-] depending on the Reynolds number, $R\!e$ = Reynolds number (= $\rho D \vert\vec{u}_{\text{D}}-\vec{u}\vert/ \mu$), $\rho _{\text {D}}$ = density [kg m$^{-3}$] of water, $\rho$ = density [kg m$^{-3}$] of air, and $\mu$ = dynamic viscosity [kg m$^{-1}$ s$^{-1}$] of air.

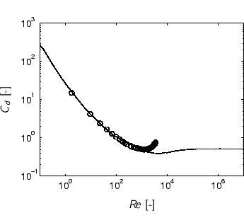
Figure 2.6 shows the drag coefficient $C_d$ as function of the Reynolds number. The function of [Morsi and Alexander 1972] was obtained from fitting a large amount of laboratory data for different kinds of particles, from different references. Data on falling water drops in still air obtained by [Gunn and Kinzer 1949] have been included in the graph. For falling drops $D>5$ mm ($R\!e> 3$$\times$10$^{3}$), the drag coefficient is underestimated by [Morsi and Alexander 1972].

Figure 2.6: Drag coefficient $C_d$ as function of the Reynolds number $R\!e$, for particles in general ( $\includegraphics[width=2em]{gen/m-ononderbroken.eps}$, [Morsi and Alexander 1972]), and falling water drops ( $\includegraphics[width=0.5em]{gen/m-rondje.eps}$, [Gunn and Kinzer 1949]).
\begin{center}%
%%% x-axis [cc][b]
%%% y-axis [Bc][t]
\psfrag{reynoldsnumber...
...cludegraphics[height=\matlabhoogte]{h-theory/cd/dragcoeff.eps}%
 \end{center}

The terminal velocity is the maximum vertical velocity which a drop reaches. It is, in other words, the velocity when the gravitational force equals the drag force. The usual assumption that the vertical velocity approximately equals the terminal velocity, is thus only valid in wind flow with zero vertical wind velocity. Generally this is a good approximation for the undisturbed wind flow far from obstacles; near buildings vertical wind velocity influences the drop velocity. Strictly speaking, the horizontal wind component could also influence the falling velocity because it can deform the shape of a raindrop and thus the drag.

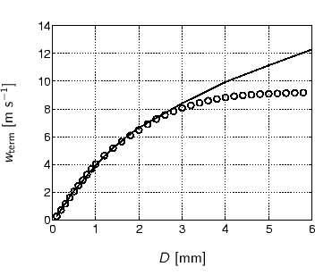
[Gunn and Kinzer 1949] presented a table with terminal velocity data as a function of drop diameter, measured in laboratory. We fitted these data with the following function:

\begin{displaymath}
w_{\text{term}} =
9.40 \left( 1 - \exp \left( -1.57\times{}10^3 D^{1.15} \right) \right).
\end{displaymath} (2.11)

with $w_{\text{term}}$ = terminal velocity [m s$^{-1}$], and $D$ = equivalent raindrop diameter [m].

Often one applies such a relation obtained from laboratory experiments in still air at an air pressure of 760 mm Hg, a temperature of 20$^\circ $C and a relative humidity of 50%. In figure 2.7 the relation given by eq. 2.11 is plotted, with terminal velocities calculated directly from the equation of motion (eq. 2.10) and drag coefficients of [Morsi and Alexander 1972]. The latter method overestimates the terminal velocity of bigger drops ($D>3$ mm), because the used drag coefficient function does not take drop deformation into account.

Figure 2.7: Terminal drop velocity as function of raindrop diameter: according to eq. 2.10 with $C_d$ of [Morsi and Alexander 1972] ( $\includegraphics[width=2em]{gen/m-ononderbroken.eps}$), and according to the measurements of [Gunn and Kinzer 1949] ( $\includegraphics[width=0.5em]{gen/m-rondje.eps}$).
\begin{center}%
%%% x-axis [cc][b]
%%% y-axis [Bc][t]
\psfrag{D [mm]} [cc][b...
...s[height=\matlabhoogte]{h-theory/fitgunn/terminalvelocity.eps}%
 \end{center}


2.2.3 Stopping distance and dispersion

The stopping distance $\ell_{\text{stop}}$ is the distance travelled by a drop as a result of its inertia, after the driving force is suddenly taken away [Fuchs 1964]. In our case, the driving force is the wind speed. The stopping distance is a function of the drop diameter $D$ and the initial speed $u_i$ of the drop and can be calculated by use of equation 2.10 with the conditions $\vec{g} = 0$, $u(t<0)
= u_i$ and $u(t\geq 0) = 0$. The solution is:

\begin{displaymath}
\ell_{\text{stop}} = \frac{4}{3} \; D \; \frac{\rho_{D}}{\rho}
\int_0^{R\!e_i} \frac{d R\!e}{R\!e\; C_d(R\!e)},
\end{displaymath} (2.12)

with $R\!e_i = \rho D u_i / \mu$.

Figure 2.8a shows the stopping distance for various initial speeds (cf. wind speeds) and various drop diameters, calculated with values of $C_d$ given by [Morsi and Alexander 1972]. The same figure gives results calculated with $C_d$ values of [Gunn and Kinzer 1949], as far as the limited range of Reynolds numbers allowed for (cf. figure 2.6). Figure 2.8b shows the same information as figure 2.8a, but now condensed into two lines, as is obvious from eq. 2.12.

Figure 2.8: Stopping distance of rain drops, calculated with values of $C_d$ given by [Morsi and Alexander 1972] ( $\includegraphics[width=2em]{gen/m-ononderbroken.eps}$), and [Gunn and Kinzer 1949] ( $\includegraphics[width=2em]{gen/m-streep.eps}$).
% midden\{%
\small
% begin\{tabbing\}
a.
%%% x-axis [cc][b]
\psfrag{Uwind...
...]{h-theory/stopweg-martin/stopdistance-dim3.eps}}
%
% end\{tabbing\}
% \}
\par

The stopping distance is a measure for the ability of raindrops to follow changes in wind speed and direction. In general, in eddies where wind flow is curved and accelerated, the stopping distance can characterise the dispersion of raindrops, i.e. the raindrop trajectory deviations from the wind pattern. Raindrops with a certain $\ell_{\text{stop}}$ will follow eddies with a certain minimum dimension, say $\mathcal{L}_{\text{min}}$, but eddies with a dimension smaller than $\mathcal{L}_{\text{min}}$ will hardly or not effect the raindrop trajectory. We will assume here that $\mathcal{L}_{\text{min}}$ approximately equals $\ell_{\text{stop}}$.

The integral length scale, $L_{u}$, is an estimate of the dimensions of the largest eddies in a neutral homogeneous boundary layer. Estimates range from 50 to 200 m [Geurts 1997]. Figure 2.8 shows that for wind speeds up to 10 m s$^{-1}$ the stopping distance is less than $L_{u}$, and that the drops will follow such eddies. Close to buildings we will find smaller eddies, for example a frontal vortex with the dimension of the building height (see section 2.1.4 for other typical values).

Without a numerical model it is not easy to estimate how the raindrops will be dispersed by eddies other than $L_{u}$ or a frontal vortex. []p. 201]crowe:1998 cite an estimation for the length scale of a turbulent eddy within the framework of the $K$-$\epsilon$ turbulence model for the fluid:

\begin{displaymath}
\mathcal{L}_{\text{turb. eddy}} = C_{\mu} \frac{K^{\frac{3}{2}}}{\epsilon},
\end{displaymath} (2.13)

with $C_{\mu}$ = an empirical constant (in our case, 0.032) and $\epsilon$ = the dissipation rate [m$^{2}$ s$^{-3}$]. Details of the model will be given in chapter 6, but for now we simply refer to equations 6.3 and 6.4 for $K$ and $\epsilon$ in the a.s.l, respectively. Substituting these two equations in eq. 2.13, we obtain:
\begin{displaymath}
\mathcal{L}_{\text{turb. eddy}} = C_{\mu}^{\frac{1}{4}} \text{\fontfamily{computermodern}\selectfont\itshape k}z,
\end{displaymath} (2.14)

with $\text{\fontfamily{computermodern}\selectfont\itshape k}$ = the von Kármán constant (0.4). For example at $z=50$ m, the length scale of the turbulent eddy is estimated to be approximately 8 m. According to figure 2.8, this would e.g. mean that raindrops with diameters up to 2 mm are strongly influenced by these turbulent eddies at wind speeds of 5 m s$^{-1}$.

Although the relation $\mathcal{L}_{\text{min}} \approx \ell_{\text{stop}}$ is only a crude approximation, we conclude that dispersion of raindrops due to the turbulence of the wind is very likely an important factor.


2.2.4 Raindrop spectrum and rain intensity

Rain is characterised by raindrop spectra. In meteorology raindrop spectra (also called ``raindrop distributions'') are often expressed in a number of drops per (volume) unit of air per (equivalent) drop diameter. It is here called ``raindrop number concentration spectrum'', denoted by $n(D)$ and its unit is m$^{-3}$ m$^{-1}$.

For our purposes, it is more practical to express raindrop spectra in terms of mass fluxes on or through a certain area. First we define a raindrop mass concentration spectrum $m(D)$ [kg m$^{-3}$ m$^{-1}$]:

\begin{displaymath}
m(D) = n(D) \; \rho_{\text{D}} \frac{\pi}{6} D^3,
\end{displaymath} (2.15)

with $D$ = raindrop diameter [m] and $\rho _{\text {D}}$ = density [kg m$^{-3}$] of water.

Subsequently, a raindrop mass flux spectrum $\varphi _{\text {h}}(D)$ [kg m$^{-2}$ s$^{-1}$ m$^{-1}$] through the horizontal is defined by:

\begin{displaymath}
\varphi_{\text{h}}(D) = m(D) \; w_{\text{term}}(D),
\end{displaymath} (2.16)

with $w_{\text{term}}(D)$ = terminal velocity [m s$^{-1}$] of a drop with diameter $D$.

Relation 2.16 is only valid (1) if the vertical velocity of every drop equals the terminal velocity (and is not affected by vertical wind, turbulence and raindrop interaction), and (2) if the raindrop spectrum does not depend on time and location (i.e. in stationary rainfall). [Uijlenhoet and Stricker 1999] gave an extensive overview of different definitions of raindrop spectra and their integral quantities.

Raindrop mass flux spectra give a better impression of the contribution of every drop size to the total rain amount. This amount is expressed by the horizontal rain intensity $R_{\text {h}}$ [mm h$^{-1}$] and is defined by the amount of rain water falling through a horizontal plane per hour in the undisturbed wind flow, and equals the summation of the mass fluxes of all drops falling through the plane:

\begin{displaymath}
R_{\text{h}} = 3600 \; \int\limits_{0}^{\infty} \; \varphi_{\text{h}}(D) dD.
\end{displaymath} (2.17)

Note that rain amounts are usually expressed in a height of a layer of water, so that a rain amount of 1 mm equals 1 kg m$^{-2}$. Note also that rain intensities are often expressed in mm h$^{-1}$.

Three other quantities are sometimes used, namely (1) the liquid water content $W$ [kg m$^{-3}$], i.e. the amount of liquid water per unit of air:

\begin{displaymath}
W = \int\limits_{0}^{\infty} \; m(D) dD,
\end{displaymath} (2.18)

(2) the fraction $F(D)$ [-] of liquid water in the air comprised by drops with diameter less than $D$ [m]:
\begin{displaymath}
F(D) = \frac{ \int\limits_{0}^{D} \; m(\Delta) d\Delta }{ \int\limits_{0}^{\infty} \; m(\Delta) d\Delta },
\end{displaymath} (2.19)

and (3) the median drop size $D_{50}$ [m]:
\begin{displaymath}
F(D_{50}) = \frac{1}{2}.
\end{displaymath} (2.20)

Three frequently used empirical formulae for raindrop spectra are presented in the following.

[Marshall and Palmer 1948] spectra Probably the most widely used empirical description of raindrop spectra is that of [Marshall and Palmer 1948]:

\begin{displaymath}
n(D) = n_0 e^{-\Lambda D},
\end{displaymath} (2.21)

with $n(D)dD$ = the number of drops per cubic metre in the drop diameter range $(D, D+dD)$ and $D$ = the equivalent drop diameter.

[Marshall and Palmer 1948] obtained $n_0$ and $\Lambda $ from measurements amongst others by [Laws and Parsons 1943], who describe in detail the measurement and averaging methods used at that time:

\begin{displaymath}
n_0 = 8 \times 10^3 \quad \text{and} \quad
\Lambda = 4.1 R_{\text{h}}^{-0.21}.
\end{displaymath} (2.22)

with $n_0$ in m$^{-3}$ mm$^{-1}$, $\Lambda $ in mm$^{-1}$ and $R_{\text {h}}$ in mm h$^{-1}$. Note that $D$ in eq. 2.21 is in mm.

Examples of [Marshall and Palmer 1948] spectra are plotted in figure 2.9a. We converted these raindrop size spectra into raindrop mass flux spectra and the result is plotted in figure 2.9b. Comparison of figures a and b shows that a mass flux spectrum gives a better impression of the contribution of every drop size to the total rain amount on the horizontal.

Subsequent studies pointed out that the parameters $n_0$ and $\Lambda $ vary widely (and even during rainfall). One has tried to classify these parameters by the type of rain, as e.g. in [Joss and Waldvogel 1969] (table 2.2).


Table 2.2: Parameters $n_0$ and $\Lambda $ of the [Marshall and Palmer 1948] raindrop spectrum, for various types of rainfall [Joss and Waldvogel 1969].
type of rainfall $N_0$ $\Lambda $-$R_{\text {h}}$ relationship
  [m$^{-3}$ mm$^{-1}$] [$\Lambda $ mm$^{-1}$, $R_{\text {h}}$ mm h$^{-1}$]
drizzle 30 000 $\Lambda=5.7 R^{-0.21}_{\text{h}}$
widespread 7 000 $\Lambda=4.1 R^{-0.21}_{\text{h}}$
thunderstorm 1 400 $\Lambda=3.0 R^{-0.21}_{\text{h}}$


Figure 2.9: Raindrop spectra according to [Marshall and Palmer 1948], for two rain intensities $R_{\text {h}}$: $\includegraphics[width=2em]{gen/m-ononderbroken.eps}$ 1 mm h$^{-1}$, $\includegraphics[width=2em]{gen/m-streep.eps}$ 10 mm h$^{-1}$. Graph a shows raindrop number concentration spectra $n(D)$; graph b shows raindrop mass flux spectra $\varphi _{\text {h}}(D)$. $\Delta D$ = 0.1 mm.
\begin{center}%
\psfrag{diameter[mm]} [cc][b]{\small$D$ [mm]}
\psfrag{numbe...
....44\linewidth]{h-theory/best/mp_massflux.eps} \\
\end{tabular}  \end{center}

[Marshall and Palmer 1948] obtained the parameterisation 2.22 by analysing rainfall with drops of 1 to 3.5 mm diameter and with rain intensities of 1 to 23 mm h$^{-1}$. It is therefore often assumed that this parameterisation overestimates of the number of drops below 1 mm diameter. Therefore, other spectra (e.g. gamma distributions) were proposed. An overview is given in [Sempere Torres and Porrà 1994].

[Ulbrich 1983] spectra The raindrop spectrum of [Ulbrich 1983] is defined as:

\begin{displaymath}
n(D) = n_0 D^{\mu} e^{-\Lambda D},
\end{displaymath} (2.23)

with $\mu$ = a parameterisation constant [-] (realistic values from -1 to 6), $n_0$ and $\Lambda $ according to eq. 2.22, and $D$ in mm.

Figure 2.10: Raindrop mass flux spectra with a rain intensity of 3 mm h$^{-1}$, according to [Marshall and Palmer 1948] ( $\includegraphics[width=2em]{gen/m-ononderbroken.eps}$), and [Ulbrich 1983] ( $\includegraphics[width=2em]{gen/m-stippel.eps}$: $\mu = -1$, $\includegraphics[width=2em]{gen/m-streep.eps}$: $\mu = 1$, $\includegraphics[width=2em]{gen/m-streep-stippel.eps}$: $\mu = 2$). $\Delta D$ = 0.1 mm.
\begin{center}%
%%% x-axis [cc][b]
\psfrag{diameter[mm]} [cc][b]{$D$ [mm]}
...
...degraphics[height=\matlabhoogte]{h-theory/best/comp_mp_ul.eps}%
 \end{center}

The Ulbrich spectrum includes an extra parameter ($\mu$), which should take variations in $n_0$ (of eq. 2.21) into account. E.g. [Waldvogel 1974] showed that large and sudden changes in $n_0$ can occur from moment to moment within a given rainfall type. Figure 2.10 shows examples of Ulbrich spectra. Note that for $\mu = 0$ the Ulbrich spectrum equals the Marshall-Palmer spectrum.

Figure 2.11: Raindrop mass flux spectra with a rain intensity of 3 mm h$^{-1}$, according to [Best 1950]. $\includegraphics[width=2em]{gen/m-ononderbroken.eps}$: $A=1.30$, $a=0.232$, $b=2.25$, $C=67$, $q=0.846$. Similar spectra, according to the measurements of [Wessels 1972]: $\includegraphics[width=2em]{gen/m-stippel.eps}$: $A=0.88$, $a=0.21$, $\includegraphics[width=2em]{gen/m-streep.eps}$: $A=1.77$, $a=0.21$. $\Delta D$ = 0.1 mm. Cf. figure 2.10.
\begin{center}%
%%% x-axis [cc][b]
\psfrag{diameter[mm]} [cc][b]{$D$ [mm]}
...
...aphics[height=\matlabhoogte]{h-theory/best/best-wessels-3.eps}%
 \end{center}

[Best 1950] spectra The third type of raindrop spectrum presented here, was proposed by [Best 1950]. The spectrum is expressed by:

\begin{displaymath}
m(D) = \frac{dF}{dD} W,
\end{displaymath} (2.24)

where

\begin{displaymath}
1 - F(D) = \exp \left( -\left( \frac{D}{A R_{\text{h}}^a} \right)^b \right)
\quad \text{and} \quad
W = C R_{\text{h}}^q,
\end{displaymath}

with $F(D)$ = the fraction of liquid water in the air comprised by drops with diameter less than $D$ [mm], $R_{\text {h}}$ = the horizontal rain intensity in mm h$^{-1}$, and $W$ = the amount of liquid water per unit of air in mm$^{3}$ m$^{-3}$.

The values of the constants $A$, $a$, $b$, $C$ and $q$ were obtained from results of measurements in Great-Britain and eight papers (e.g. [Laws and Parsons 1943] and [Marshall and Palmer 1948]), and amount to 1.30, 0.232, 2.25, 67 and 0.846, respectively. The [Best 1950] spectrum is used in [Wessels 1972] to analyse raindrop spectra measured at De Bilt (NL) during 1968 and 1969. The best regression of the 533 observations was found with $A=1.21$ and $a=0.21$. 90% of the observations had a constant $A$ ranging from 0.88 to 1.77 (with $a=0.21$). Individual raindrop spectra can thus vary widely in shape, as is illustrated in figure 2.11.

Summary The three presented raindrop spectra can be summarised by the following formula for the raindrop mass concentration spectrum:

\begin{displaymath}
m(D) = C_1 \; D^{C_2} \; \exp \left( -C_3 D^{C_4} \right).
\end{displaymath} (2.25)

The expressions for the parameters $C_1$, $C_2$, $C_3$ and $C_4$ are listed in table 2.3.


Table 2.3: Parameters $C_1$, $C_2$, $C_3$ and $C_4$ of eq. 2.25 for [Marshall and Palmer 1948] spectra, [Ulbrich 1983] spectra and [Best 1950] spectra. In equation 2.25 and the equations below, the units of $D$, $m(D)$ and $\rho _{\text {D}}$ are [m], [kg m$^{-3}$ m$^{-1}$] and [kg m$^{-3}$], respectively. The units of $n_0$, $\Lambda $, $A$, $a$, $b$, $C$ and $q$ are the same as in the equations 2.22, 2.23 and 2.24.
Marshall and Palmer: $
\begin{array}{rl}
C_1 = & 10^{3} \frac{\pi}{6} \rho_{\text{D}} n_0
\quad \...
...
C_2 = & 3 \\
\par
C_3 = & 10^{3} \Lambda \\
\par
C_4 = & 1 \\
\end{array} $
Ulbrich: $
\begin{array}{rl}
C_1 = & 10^{3 + 3\mu} \frac{\pi}{6} \rho_{\text{D}} n_0
...
... & \mu + 3 \\
\par
C_3 = & 10^{3} \Lambda \\
\par
C_4 = & 1 \\
\end{array} $
Best: $
\begin{array}{rl}
C_1 = & 10^{-9+3b} \rho_{\text{D}} \frac{b C R_{\text{h}}^...
... = & \frac{10^{3b}}{A^b R_{\text{h}}^{ab}} \\
\par
C_4 = & b \\
\end{array} $
  Note that in eq. 2.24: $W = 10^{-9} \rho_{\text{D}} C R_{\text{h}}^q$ [kg m$^{-3}$].


© 2002 Fabien J.R. van Mook
ISBN 90-6814-569-X
Published as issue 69 in the Bouwstenen series of the Faculty of Architecture, Planning and Building of the Eindhoven University of Technology.