6.3 Results of wind calculations

In this section, the simulation results are evaluated in three ways: (a) by comparison of simulated wind velocities with full-scale measurements, (b) by comparison of mean pressure coefficients with full-scale and wind tunnel measurements, and (c) qualitatively.

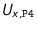
Figure 6.5: Measured and simulated wind velocities at 50 cm from the façade at position P4, normalised by the reference wind speed $U_{\text {h}}$, as function of the reference wind direction $\Phi $. Figure a: the normalised wind speed $U_{\text {\texttt {P4}}}$. Figures b-d: the normalised velocity components $U_{x,\text {\texttt {P4}}}$, $U_{y,\text {\texttt {P4}}}$ and $U_{z,\text {\texttt {P4}}}$, respectively. Based on 10-min averages from 16-9-1998 to 14-9-1999.
\small
%%% x-axis [cc][b]
\psfrag{phip1} [cc][b]{$\Phi$ [$^\circ${} from nor...
...m-vierkant.eps}${} = simulation with Building T \\
\end{tabular} \end{tabbing}

Figure 6.6: Similar to figure 6.5, but for wind speeds measured at 125 cm from the façade at position P4. Based on 10-min averages from 17-7-1998 to 16-9-1998 and from 14-9-1999 to 30-11-1999.
\small
%%% x-axis [cc][b]
\psfrag{phip1} [cc][b]{$\Phi$ [$^\circ${} from nor...
...m-vierkant.eps}${} = simulation with Building T \\
\end{tabular} \end{tabbing}

Normalised wind velocities Figure 6.5a shows the simulated and measured wind speeds at 50 cm from the façade at position P4, $U_{\text {\texttt {P4}}}$, normalised by the horizontal wind speed $U_{\text {h}}$ at position P1.

The simulated wind speeds $U_{\text{\texttt{P4}}}/U_{\text{h}}$ (figure 6.5a) are (just) within the standard deviation of the measurements. The largest deviations are found at wind directions of less than 240$^\circ $. This is due to the wake of Building T. Building T (figure 6.1) has the same height as the Main Building. When Building T is included in the computational domain, the results for $\Phi< 240$$^\circ $ compare better with the measurements.

Figures 6.5b-d show the normalised velocity components at 50 cm from the façade at position P4. See figures 2.4, 3.4, 3.5 and 3.6 for the definition of the $x$-$y$-$z$ axis system. The predictions from the simulations (with inclusion of Building T in the grid) for $U_{x,\text {\texttt {P4}}}$ are within the standard deviation of the measurements. This does not apply for the vertical component $U_{z,\text {\texttt {P4}}}$, which is the second most important contribution to the wind speed at P4. In this case, however, one should be careful interpreting the measured data: the ultrasonic anemometer at P4 is positioned vertically, and in this direction, the vertical wind is mostly obstructed by the housing of the anemometer.

Figure 6.7: Measured [Geurts 1997] and simulated (current study) mean pressure coefficients as function of the position on the façade, at 72% of the building height. The north edge of the west façade is represented by the relative position $x_{\text {so}}$ = 1, the south edge by $x_{\text {so}}$ = 0.
\small
%%% x-axis [cc][b]
\psfrag{xso} [cc][b]{$x_{\text{so}}$ [-]}
%%% y-a...
...=\matlabhoogte]{h-simulations/cpfig/cp-072.eps}\\
\end{tabular}
\end{center}

Figure 6.6 is similar to figure 6.5, but with the P4 position wind speed measured at 125 cm from the façade surface. The differences between these two figures are small. The most important difference is that the absolute values of $U_{y,\text{\texttt{P4}}}/U_{\text{h}}$ at 125 cm (figure 6.6c) are larger than than the respective values at 50 cm. This means that, as expected, the wind velocity component perpendicular to the building façade ( $U_{y,\text {\texttt {P4}}}$) is relatively more reduced towards the façade than the wind velocity components parallel to the façade ( $U_{x,\text {\texttt {P4}}}$, $U_{z,\text {\texttt {P4}}}$).

Figure 6.8: Contours of simulated velocity magnitudes [m s$^{-1}$] in the $y$-$z$ plane through the middle of the Main Building. Reference parameters are $U_{\text {h}} = 5.7$ m s$^{-1}$ and $\Phi = 270$$^\circ $.
\begin{center}
\small
% viewport= 5 110 450 700
\par
\includegraphics[viewport...
...\linewidth]{h-simulations/droptraj/HGTX_100_00-k43-15levels.PS}
 \end{center}

Mean pressure coefficients Data from previous wind tunnel and full-scale measurements of mean pressure coefficients on the west façade of the Main Building [Geurts 1997] are compared with the simulation results of the current study in figure 6.7. The simulation, wind tunnel and full-scale results for $\Phi =$ 270$^\circ $ are in good agreement. However, towards the building edges, the wind tunnel measurements reveal strongly decreasing pressure coefficients. This is in contrast to the full-scale measurements and simulations, which both suggest more or less the same value. Large differences between the wind tunnel measurements and the other results are also visible towards $x_{\text{so}}=1$ for $\Phi =$ 300$^\circ $, where the full-scale measurements and the simulations seem to give the same increase in pressure coefficients. For both wind directions, measurements and simulations in the middle part of the façade are in good agreement.

Figure 6.9: Simulated velocity vectors in the $y$-$z$ plane through position B12 of the Main Building (figure 6.2). Reference parameters are $U_{\text {h}} = 5.7$ m s$^{-1}$ and $\Phi = 270$$^\circ $. An arrow with the length of the building width corresponds to 32 m s$^{-1}$.
\small
\par
\begin{center}
\includegraphics[viewport= 5 110 450 700,clip,angle=...
...dth=0.75\linewidth]{h-simulations/droptraj/HGTX_100_00-k48-W32.PS}
\end{center}

Qualitative evaluation It is not practical to present all data and graphs for a qualitative evaluation of the simulation results. We restrict ourselves by presenting a contour diagram of velocities in a plane through the Main Building (figure 6.8) and a graph of velocity vectors at the Main Building roof (figure 6.9). The latter figure clearly shows a reattachment on the roof, which we may expect according to literature (see e.g. [Bottema 1993b]). Figure 6.8 shows (among others) that the recirculation zone in the building wake extends up till the expected distance of $4\mathcal{L}_g$ behind the Main Building ( $4\mathcal{L}_g=8\cal{H}$ in our case). For the definition of $\mathcal{L}_g$ one is referred to section 6.1, and for an overview of flow patterns around buildings to [Bottema 1993b].

Conclusion The general difficulties of the standard $K$-$\epsilon$ model with the simulation of recirculation on the leeward sides of a building and the (over-)production of turbulent kinetic energy at the windward edges of a building have been pointed out in the literature (see e.g. [Murakami et al. 1992]). Nevertheless, in the literature it is also pointed out that generally the simulated wind speed values at the windward side of a building are in good agreement with (wind tunnel) measurements. In view of this, the mentioned general difficulties, and the use of a structured grid with inevitably non-ideally shaped grid cells, the wind simulations of the present study seem to compare well enough with the measurements to proceed to the driving rain calculations.

© 2002 Fabien J.R. van Mook
ISBN 90-6814-569-X
Published as issue 69 in the Bouwstenen series of the Faculty of Architecture, Planning and Building of the Eindhoven University of Technology.