6.2 Driving rain calculation method

The calculations of the drop trajectories were performed with the same CFD package Fluent (versions 4.4 and 4.5). The trajectories were calculated after the wind flow calculation for a chosen geometry, reference wind speed and wind direction.

Figure 6.2: Façade sections on the west façade of the Main Building, with section numbering. The diamonds indicate the measurement positions of the full-scale experiment; position P6 is in façade section B1, and position P4/5 in B12. See also figure 3.6.
\small
%%% x-axis [cc][b]
% psfrag\{Sh\}[cc][b]\{1 day rain amount [mm]\}
%%%...
...width=0.9\linewidth]{h-simulations/Rfdistrib/facadesections-K.eps}
\end{center}

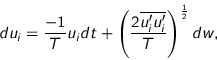
Drop trajectory The motion of a drop is modelled in Fluent with equation 2.10. In Fluent, the drag coefficient $C_d$ as a function of the Reynolds number of [Morsi and Alexander 1972] was implemented (figure 2.6).

The turbulent dispersion of drop trajectories is not easily modelled because the $K$-$\epsilon$ model does not provide detailed information on small scale eddies or fluctuating velocity components. In Fluent it is possible to obtain the fluctuating velocity components by solving the Langevin equation, which results in filtered white noise. This is called the ``continuous random walk'' model [Fluent 1997]. This model requires more computational effort (because the time steps are smaller during the integration of the particle trajectory equations) than the other model implemented in Fluent, the ``random walk model'', in which the fluctuating velocity components are random values which are kept constant over an interval of time given by the characteristic lifetime of eddies. An advantage of the continuous random walk model is that it can include the effects of crossing trajectories.

The Langevin equation of the continuous random walk model is the following [Fluent 1997]:

\begin{displaymath}
d u_i = \frac{-1}{T} u_i dt + \left( \frac{2 \overline{u_i' u_i'}}{T}
\right)^{\frac{1}{2}} dw,
\end{displaymath} (6.7)

with $u_i$ = the wind velocity [m s$^{-1}$] along the coordinate axis $i$ (= $x$, $y$ or $z$), $T$ = the so-called integral time [s], and $w$ = a Gaussian distributed random number.

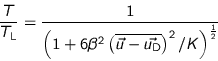
The integral time $T$ is estimated by the assumption that it is equal to the Langrangian integral time $T_{\text{L}}$, which is proportional to $K / \epsilon$. For the $K$-$\epsilon$ model, the Langrangian integral time is approximately $0.15 K / \epsilon$ [Fluent 1997]. The model in Fluent applies a correction of the integral time $T$ to account for the effects of crossing trajectories, depending on the turbulent kinetic energy and the difference between wind and drop speeds [Fluent 1997]:

\begin{displaymath}
\frac{T}{T_{\text{L}}} =
\frac{1}{\left( 1 + 6 \beta^2
...
...\vec{u_{\text{D}}}}\right)^2
/ K \right)^{\frac{1}{2}}
}
\end{displaymath} (6.8)

with $\beta $ = a user-definable constant (default 0.5). The mean of $\vec{u}-\vec{u_{\text{D}}}$ is obtained from averaging the instantaneous values over the period $3T_{\text{L}}$.

In our calculations we will use two schemes: (1) the calculation of drop trajectories without turbulent dispersion, i.e. straightforward calculation according to eq. 2.10, and (2) the calculation with turbulent drop dispersion according to the continuous random walk model including trajectory crossing effects. The user-definable and other constants mentioned above are kept at their default values.

Figure 6.3: Simulated drop trajectories for $U_{\text {h}} = 3.5$ m s$^{-1}$ and $\Phi = 270$$^\circ $. In figures a-c, turbulent drop dispersion was not taken into account; in figures d-f it was included. Every graph shows the Auditorium (left) and Main Building (right), seen from the south.
\small
\par
\begin{tabbing}
a.\=
\includegraphics[viewport= 5 110 450 700,clip...
...j/HGTX_061_00-D60.PS}
\\
\makebox[\linewidth][c]{$D=3.0$ mm}
\end{tabbing}

Figure 6.4: Catch ratio $\eta $ as a function of $N_{\text {h}}$ for three drop diameters ( $\includegraphics[width=2em]{gen/m-ononderbroken.eps}$ (average), $\includegraphics[width=0.5em]{gen/m-iksje.eps}$: $D=0.5$ mm; $\includegraphics[width=2em]{gen/m-streep-stippel.eps}$, $\includegraphics[width=0.5em]{gen/m-rondje.eps}$: $D=3$ mm; $\includegraphics[width=2em]{gen/m-streep.eps}$, $\includegraphics[width=0.5em]{gen/m-kruisje.eps}$: $D=6$ mm), at façade section B12 (see figure 6.2), $U_{\text {h}}$ = 5.7 m s$^{-1}$, $\Phi $ = 270$^\circ $. Figure a and b results from simulations without and with turbulent drop dispersion, respectively.
%%% x-axis [cc][b]
\psfrag{Ch} [cc][b]{$N_{\text{h}}$ [m$^{-2}$]}
%%% y-axis...
...idth]{h-simulations/facadesections/Nh-eta-hgtx-100-00_Kd-67.eps}
\end{tabbing}

Grid The trajectory calculation has also implications for the computational grid: the dimensions of the grid cells in which drop trajectory deviations are expected to occur, should be smaller than the stopping distance of the smallest drop. This implies a maximum dimension of 0.5 m near the façade, i.e. the approximate stopping distance of 1 m for a 0.5 mm drop at 2 m s$^{-1}$ (figure 2.8).

Façade sections For the calculation of catch ratios $\eta (D)$, the façade is divided into smaller areas, which we call here ``façade sections''. The applied division with a numbering scheme is shown in figure 6.2. The measurement positions for driving rain and wind are located at B1 (position P6) and B12 (P4/5).

Calculation of catch ratios $\eta (D)$ In a wind field calculated for a given geometry, wind speed and direction, raindrops with a chosen diameter are released from a `release grid'. This grid forms a horizontal plane with a certain length and width, positioned such that the whole façade is covered with drops. The dimensions of the release grid are not determined automatically but interactively by trial. For the trajectory calculations with turbulent dispersion the release grid sizes were taken larger than strictly necessary. This means that drops from the extremities of the release grid are released at such a distance that they --with their dispersed trajectories-- do not hit the building. The release grid is positioned at 2-3.5 times the Main Building height. Figure 6.3d shows an example of the width of a release grid for a simulation at a particular wind speed, wind direction and drop diameter, in which turbulent drop dispersion is included. The other graphs of figure 6.3 show example drop trajectories for the same wind speed and direction, but different drop diameters and with/without turbulent drop dispersion.

After the trajectory calculations, the catch ratio $\eta $ for a particular raindrop diameter on a particular area on the façade (façade section) is computed by (cf. eq. 2.26):

\begin{displaymath}
\eta = \frac{N_{\text{f}}}{N_{\text{h}}},
\end{displaymath} (6.9)

with $N_{\text{f}}$ and $N_{\text {h}}$ the number of drops per unit of area on a façade section and in the release grid, respectively.

Figure 6.4 shows an example of the calculated catch ratio $\eta $ as a function of $N_{\text {h}}$ for several raindrop diameters. The curves indicate an average of the respective data points, which were obtained by reducing the number of released drops by a factor of two. (More data points are available for lower $N_{\text {h}}$, because dividing a set of released drops in two sets (with half of the original $N_{\text {h}}$) leads to two new data points. This division should only be repeated a few times, of course.) By evaluating the convergence of $\eta $ as a function of $N_{\text {h}}$, we determined the minimum number of drops to be released for a reliable $\eta (D)$.

The drop diameters for which drop trajectories are calculated, are $D$ = 0.5, 1.0, 1.5, ... 6.0 mm. The calculated $\eta (D)$ functions for a particular façade area based on the mentioned series of drop diameters are smoothed by interpolation. The resulting smoothed $\eta (D)$ functions are used for further driving rain calculations. These will be presented in section 6.4.


Table 6.1: The number of drops released for a simulation with $U_{\text {h}}$ = 5.7 m s$^{-1}$, $\Phi $ = 270$^\circ $.
  without turb. disp. with turb. disp.
$D$ number in $N_{\text {h}}$ number in $N_{\text {h}}$
[mm] release grid [m$^{-2}$] release grid [m$^{-2}$]
0.5 5.4$\times$10$^{5}$ 5.9 1.4$\times$10$^{6}$ 15.3
1.0 4.8$\times$10$^{5}$ 5.9 1.3$\times$10$^{6}$ 15.3
1.5 3.1$\times$10$^{5}$ 5.9 8.1$\times$10$^{5}$ 15.1
2.0 1.9$\times$10$^{5}$ 5.8 5.1$\times$10$^{5}$ 14.8
2.5 1.9$\times$10$^{5}$ 5.8 5.1$\times$10$^{5}$ 14.8
3.0 1.6$\times$10$^{5}$ 5.8 4.2$\times$10$^{5}$ 14.7
3.5 1.5$\times$10$^{5}$ 5.8 3.9$\times$10$^{5}$ 14.6
4.0 1.2$\times$10$^{5}$ 5.8 3.1$\times$10$^{5}$ 14.5
4.5 1.2$\times$10$^{5}$ 5.8 3.1$\times$10$^{5}$ 14.5
5.0 1.2$\times$10$^{5}$ 5.8 3.1$\times$10$^{5}$ 14.5
5.5 1.0$\times$10$^{5}$ 5.8 2.8$\times$10$^{5}$ 14.4
6.0 1.0$\times$10$^{5}$ 5.8 2.8$\times$10$^{5}$ 14.4

Table 6.1 presents the number of released drops in a particular simulation. For the trajectory calculations without turbulent drop dispersion, a total of 25.8$\times$10$^{5}$ drops were released; these calculations took 131 hours ($\sim$5.5 days) of CPU time on a Sun Entreprise Server with two 400 MHz UltraSparc-II processors, 1 Gbyte RAM and the Solaris 2.7 operating system (the CPU time was $\sim$75% of the elapsed clock time). For the trajectory calculations with turbulent drop dispersion, the numbers were 68.3$\times$10$^{5}$ released drops and 414 hours of CPU time ($\sim$17 days) respectively. Of course, the number of released drops and the time involved with the drop trajectory calculations depend on the reference wind speed and direction.

Raindrop spectra As we have a rather limited number of raindrop spectrum data measured with the disdrometer, we will use the parameterisation of raindrop spectra reported by [Wessels 1972]. He measured raindrop spectra at De Bilt (NL) during 1968 and 1969 and obtained a range of the parameter $A$ of the [Best 1950] spectrum formula (eq. 2.24). Ninety percent of his 533 observations had values of $A$ ranging from 0.88 to 1.77 (with $a=0.21$, $b=2.25$, $C=67$, and $q=0.846$). We will apply these two values of $A$ to calculate two `extreme' raindrop spectra: one with relatively many small drops and one with relatively large drops.


Table: Wind calculations and raindrop trajectory calculations that were performed. ``N.t.d.'' stands for ``no turbulent drop dispersion'' and ``w.t.d.'' for ``with turbulent drop dispersion''.
wind Building T drop trajectories
$\Phi $ $U_{\text {h}}$ [m s$^{-1}$] included n.t.d. w.t.d.
210$^\circ $ (330$^\circ $ $\star$) 3.5 m s$^{-1}$ - - -
210$^\circ $ 3.5 m s$^{-1}$ + + -
  3.5 m s$^{-1}$ - + +
240$^\circ $ (300$^\circ $ $\star$) 5.7 m s$^{-1}$ - + -
  11.2 m s$^{-1}$ - + -
240$^\circ $ 3.5 m s$^{-1}$ + - -
  3.5 m s$^{-1}$ - + +
270$^\circ $ 5.7 m s$^{-1}$ - + +
  11.2 m s$^{-1}$ - + -


$\star$ Because of symmetry, the indicated simulation represents two wind directions. Note that $\Phi =$ 270$^\circ $ is wind blowing perpendicular to the west façade of the Main Building.

Table 6.2 lists the simulations which were performed. Because of their long computation times, the number of drop trajectory simulations is rather small.

© 2002 Fabien J.R. van Mook
ISBN 90-6814-569-X
Published as issue 69 in the Bouwstenen series of the Faculty of Architecture, Planning and Building of the Eindhoven University of Technology.